


迷彩服是由绿、黄、茶、黑等颜色组成不规则保护色图案用于伪装的服装。迷彩服要求它的反射光波与周围景物反射的光波大致相同,达到迷彩服的色彩和周围环境协调一致,不仅能迷惑敌人的目力侦察,还能对付红外侦察,使敌人现代化侦视仪器难以捕捉目标(图1所示)。

图1
根据周围不同环境,需要不同颜色不同类型的迷彩服来进行掩饰。目前迷彩服主要应用于五种环境中:林地型、荒漠型、海洋性、丛林型、城市型,每种环境下的迷彩服均由四种颜色构成。根据JXUB 3015-2012的标准,需要扫描迷彩服布料在五种不同环境下的不同颜色的反射光谱值,每种颜色的反射光谱值必须满足一定要求(见下表)。
标准中规定的不同类型不同颜色迷彩服反射光谱值满足的范围:
表1.林地型

表2.荒漠型

表3.丛林型

表4.城市型

表5.海洋型

紫外/可见/近红外分光光度计是利用一定频率的紫外-可见-近红外光照射被分析的物质,它将有选择地被吸收,引起分子中介电子的跃迁,产生一组吸收随波长而变化的光谱,反映了试样的特征。主要用于测试半导体、光学元件、新型材料、纺织印染材料等的光谱性能,是功能最强劲的分光光度系统。
针对迷彩服布料反射率的测试,我们推出珀金埃尔默公司高端Lambda系列紫外可见近红外分光光度计,配置150mm专用积分球,并搭配UV WinLab软件可应对迷彩服布料反射率的测试。

图2.Lambda 1050+紫外可见近红外分光光度计+150mm积分球
1 参数设置
♦ 扫描方式:
波长编程(Wavelength Program)
♦ 扫描波长:
440nm、540nm、640nm、660nm、760nm、840nm、960nm、1200nm
♦ 纵坐标:
R%(反射率)
♦ 积分时间:
紫外可见区0.2秒,近红外区0.36秒
♦ 狭缝宽度:
紫外可见区2nm,近红外区Servo(伺服方式,即自动调整狭缝大小)
2 测试方法
♦ 将每个样品都叠加成4层放置在积分器反射口进行漫反射光谱测试,光谱仪自动读取以下波长对应的反射率值:
440nm,540nm,640nm,660nm,760nm,840nm,960nm,1200nm。
♦ 将数据导入编辑好的计算表格中作图得到折线图,从折线图我们可以形象直观的看出待测样品的反射率是否满足标准规定的范围。
3 样品测试
如下图所示为林地型迷彩布料四种不同颜色的样品。

我们使用Lambda 1050+ 150mm积分球按照上述方法和参数设置测试其反射率,测试结果如下表。
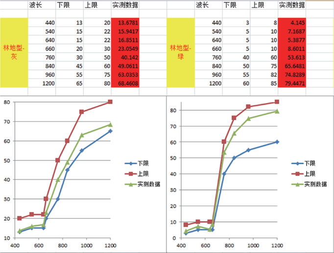
表6.2#林地样品测试数据

我们将测试数据导入到已经编辑好的计算表格中,从折线图中我们可以很清晰的看出1号黑颜色的布料不满足要求,540nm处反射率低于标准要求;其它颜色布料均满足要求。


图3.样品反射率值与标准上下限值比对结果
结论
珀金埃尔默Lambda系列分光光度计配置150mm积分球检测器对于布料的反射率测试具有测试准确,操作简单等优势;积分球检测器采用特氟龙材质,反射率高,光能量损失小,非常有利于测试的准确性和稳定性,另外,特氟龙涂层化学稳定性好,不怕酸、碱、盐,不怕潮湿,长期不老化,光学性能稳定。其次,150mm积分球开孔率小,漏光少,测量精度高,鉴于此一些国际标准已明确指出需要150mm内径积分球测试。